2025-10-20
导语:复杂装备智能制造技术仍存在一些问题部门间协同关系不明制造资源配置运行机理不够智能以及装备制造试验故障传播溯源难度较大
“智能制造”的核心是促进新一代信息技术和人工智能技术与制造业深度融合,推动实体经济转型升级。因此,如何实现制造物理世界与信息世界的交互与共融,深化智能技术融贯整个制造管理过程,是当前国内外实践智能制造理念和目标所共同面临的核心瓶颈之一。
数字孪生是以数字化方式创建物理实体的虚拟模型,借助数据模拟物理实体在现实环境中的行为。数字孪生技术是实现信息物理融合的有效手段,能有效促进智能制造落地。复杂产品“设计-研制-试验”阶段决定了整个装备 70%的资源分配,对全寿命费用和进度的影响高达 85%,是装备制造的关键核心,也是制约我国航空航天、大规模成套设备等复杂装备达到世界一流水平的“卡脖子”环节,数字孪生技术能够有效促进“设计-研制-试验”链条集成管理,带来集成创新实现全面管理升级。
而仿真建模技术是数字孪生的基础。基于数字孪生的智能制造全流程管理仿真建模是以管理科学为理论基础,聚焦“设计-研制-试验”装备制造关键阶段,利用混合建模、流程仿真与资源调配决策等手段,实现物理、信息、业务维度的虚实场景融合集成以及人机物的协同管理,对提升虚实融合环境下的智能化管理水平,特别是为智能制造加快完成数字技术全面融合与革命性新模式提供科学的管理模式与决策理论支撑。
1 复杂装备生产试验
1.1 部门概览
1.1.1 概述
复杂装备的研发,涉及到多个部门,多项流程,是一个涉及多学科、多阶段的系统工程,具有高度的复杂性和动态性。设计阶段,需要综合考虑装备的功能、性能和成本,通过迭代求解和多属性决策评价来形成概念方案。生产阶段,涉及到项目管理的复杂性,规模大,产品组成和制造流程复杂,需要跨企业、跨地域的协同制造。试验阶段,需要进行严格的安全性、可靠性验证,利用数字化试验设计分析和流程管理,以及基于模型的仿真模拟装配过程,以提前发现并解决潜在问题。整个过程要求高度的质量控制,从需求分析到设计验证,再到技术状态管理,每个阶段都是质量控制的关键节点。最终,这些活动共同确保复杂装备的性能、可靠性和安全性达到预定标准。
实现制造物理世界与信息世界的交互与共融,深化智能技术融贯整个制造管理过程,实现复杂装备研制各部门紧密耦合,提高生产效率降低生产成本,是当前国内外实践智能制造理念和目标所共同面临的核心问题之一。
1.1.2 部门职能介绍
对于一种复杂装备的立项、设计、生产、试验阶段,涉及到许多部门,这些部门之间存在协同关系,下面是部门职能介绍:
(1) 市场调研部门:负责深入分析军事市场的需求,包括潜在的战术需求、技术发展趋势和竞争对手的动态。它们通过收集和分析数据,为产品规划和研发提供市场依据,确保武器装备能够满足未来战场的需求。
(2) 产品规划部门:基于市场调研的结果,这个部门负责制定武器装备的长远发展规划和战略。它们确定产品线和技术发展路径,以及满足军事需求的具体产品规格和性能指标,为研发和设计工作提供方向。
(3) 研发部门:是武器装备研制的“心脏”部门,负责新技术的研究和开发,将科研成果转化为实际的武器装备设计。他们确保技术先进性和创新性,同时关注技术可行性和成本效益。
(4) 设计部门:负责武器装备的具体设计工作,包括结构设计、系统集成和人机工程等。他们确保装备设计满足战术技术要求,同时考虑到生产和维护的便利性。
(5) 工艺部门:这个部门负责将设计转化为可制造的工艺流程,制定生产工艺,确保武器装备的生产质量和效率。他们还负责工艺装备的设计和制造,以及材料消耗和工时消耗的工艺定额制定。
(6) )质量控制部门:负责整个研制和生产过程中的质量监督和控制,确保武器装备的可靠性和耐用性,满足军事标准。他们通过质量检查、测试和审核,确保装备在交付前达到最高质量标准。
(7) 工程部门:负责工程项目的管理,包括进度控制、资源配置和风险管理,确保武器装备研制按计划进行。他们协调各个团队的工作,解决技术难题,确保项目按时完成。
(8) 制造部门:负责武器装备的实际生产制造,包括零部件加工、组装和调试。他们保证生产过程的顺利进行,同时优化生产流程,提高生产效率和降低成本。
(9) 测试部门:负责武器装备的性能测试和验证,确保装备达到设计要求和战术技术指标。他们通过各种测试,包括实验室测试、现场测试和模拟测试,来验证装备的性能和可靠性。
(10) 文档管理部门:负责研制过程中所有技术文档和资料的管理,包括设计文件、测试报告和质量记录等。他们确保信息的准确和完整,为武器装备的研制、生产和维护提供必要的文档支持。
(11) 生产管理部门:负责生产过程的日常管理,包括生产计划、物料供应和人员调度。他们确保生产活动有序进行,及时解决生产中出现的问题,保证生产效率和产品质量。
(12) 项目管理办公室(PMO):作为项目管理中心,负责协调各个部门的工作,监控项目进度,解决跨部门问题,确保项目目标的实现。PMO 还负责项目风险管理、资源分配和项目报告。

图 1 研制生产全流程
1.2 流程描述
一项复杂装备的研制、生产、试验过程大致可描述为几个流程,这几个流程概括了装备经过项目申报立项到批量生产下发部队使用的全过程。
1.2.1 项目立项和研制要求确定
经过调研部门考察研究,确定部队对于新型装备的使用需求,产生需求分析报告作为需求分析的产品。再由产品规划部门进行分析,根据部队对新型武器装备的性能参数、使用方式的情况进行产品方向分析,确定研制该装备的总体方向和该装备的主要使用场景、目的。研发部门根据产品方向制订技术方案,同时,各专业技术部门协同项目管理办公室进行项目立项与计划,确定参与此项目具体部门组成并制订采购计划、经费预算、资源调配计划等;最终由项目管理部门进行确定研制装备总要求。
1.2.2 产品原型生产
由研发部门根据产品方向进行需求可行性分析,并提出技术方案,技术方案包含装备要实现哪些功能、具体实现功能的程度;设计部门根据技术方案进行初步设计并生成设计图纸,图纸涵盖了装备各个零部件几何尺寸特征和材料特征。图纸经过工艺部门、质量控制部门和工程部门联合审核,确保制造工艺可行、图纸符合质量标准、能够通过结构性能测试。此过程全部为理论论证,被审核主体为设计图纸,而非装备原型实物。经过审核的图纸才能作为装备原型的生产图纸,否则图纸将返回设计部门进行修改完善。经过审核通过的图纸,作为设计图纸原型交由制造部门,制造部门根据图纸进行产品原型的制造,产品原型制造为小规模试生产,只生产用于测试实验的产品原型。产品原型交由测试部门进行性能测试,性能测试效果作为反馈信息交由设计部门进行产品细节优化,研发部门在此过程中提供技术支撑,由设计部门形成详细设计图纸。
详细设计图纸交付生产管理部门进行生产装配,并由文档管理部门进行备份存档管理,文档管理部门同时负责图纸原型的备份管理。
1.2.3 装备产品试验
研发部门提供参数性能参数要求和具体技术指导,项目管理办公室为试验调配资源,包含试验耗材的调配等;试验部门首先进行试验方案设计,对试验想定进行确定,明确装备应当处于何种环境的使用场景中,并试验概念和指标体系进行设计,评估武器装备性能和作战效能,操作部门提供试验操作人员和场地,由试验部门作为指导部门,根据前期制订的试验方案实施试验。
由评估部门对试验结果进行分析。经过分析后,由质量控制部门出具产品认证。
1.2.4 产品生产
生产管理部门在质量控制部门的监督之下进行武器装备产品的批量生产。图 2 是对生产全过程的泳道图展示

图 2 泳道图
图 3 到图 5 用三层数据流图从上至下展示数据在各个任务之间的流动情况

图 3 顶层数据流图

图 4 0 层数据流图

图 5 1 层数据流图
2 制造资源智能配置运行机理仿真建模
2.1 概述
2.1.1 研究背景
当今复杂装备的研发工作因其涉及面之广早已脱离不了智能技术的应用,其中数字孪生技术对“设计-研制-试验”的产品研发链条的集成管理能够带来极大的裨益。仿真建模技术作为数字孪生技术的基础,其的应用可以为虚实场景融合集成、人机物的协同管理、产品研发链条中关键问题的解决带来极大的帮助。其中,制造资源的智能配置这一工作关系产品生产及协同管理效率的提升,在产品研发链条全过程中具有重要意义。
2.1.2 研究意义
通过对产品研发链条中制造资源智能配置的研究,可以有效提高产品生产智能化水平,加快生产效率,为数字技术的全面融合与生产新模态的诞生提供管理和决策上的理论支撑。
智能制造资源优化配置在数字孪生技术的支撑下,通过虚拟实际的相互映射,可以通过全要素、数据、模型、空间形成虚实相映、虚实交互、以虚控实、可迭代优化的新型资源配置模型,实现在约束条件下的资源配置以期车间某些柔性指标上取得较满意解。
2.1.3 研究现状
目前在解决智能制造的资源调配问题上已经有许多方法被提出,究者大多结合运筹学方法或智能算法对智能制造的资源调配问题进行求解。在仿真条件约束方面,当前研究大多聚焦于资源约束、性能约束和时间约束等静态约束层面,缺乏对于生产过程中意外情况所带来的动态约束的考虑。在仿真方法层面则是缺少对于数据和模型机理之间的融合仿真方法的探究。
2.1.4 研究内容
本文通过假设具体生产场景,对某一工作车间运用智能算法进行初始排产,并引入意外情况,当意外事件发生后,需要对意外事件进行监测,当意外事件被监测到之后,则以某种重调度算法对作业车间进行重新排产,通过引入意外情况作为被动约束考虑模型全局要素进行仿真建模,以更加全面考虑排产问题。
2.2 研究方法
2.2.1 并列加工方式
零件加工流程主要有三个环节,分别是:
进入货架预备加工、流水线加工、加工完毕进入货架储存,其中我们将主要针对流水线加工环节进行设计。加工流程共计 5 个步骤,有四条流水线可供选择。
零件从货架进入流水线以及在不同步骤的加工机器中的运转均需运转小车进行转运。如图所示,整个流水线可看作为四条加工路线并列运作,每条路线之间相互独立,不能交换加工零件。

图 6 并列加工方式
该种方法面临机器故障导致整条流水线进度拖慢、效率降低的风险,如果运转小车可以在不同流水线之间穿插,那么就可以自行选定下一步的加工位置,避免空闲机器利用率低下,缓解单一路线拥堵的情况,提高加工效率。
2.2.2 混合加工方式
混合式加工方式指的是多个加工路线串联而成的排队加工网络,我们将加工路线优化为混合方式,如图 7 所示。

图 7 混合加工方式
在每一个加工步骤完成后,加工零件会进入一个缓冲判断区,进行下一步加工机器的选择判断,优先选择空闲、队列少的机器进行下一步加工,当有多个机器处于同一忙碌状态下时,按照上一步骤的机器与下一步骤机器之间的相对距离远近关系进行选择。以此减少排队时间,提高加工效率。
2.2.3 基于遗传算法的 FJSP 算法
柔性车间调度问题(FJSP)作为生产调度领域的关键问题,具有高度的复杂性和实用性。近年来,随着智能制造和工业 4.0 的快速发展,对 FJSP 的求解方法提出了更高的要求。遗传算法作为一种高效的全局优化算法,在求解 FJSP方面具有显著优势。基于遗传算法的 FJSP 算法主要包括以下几个步骤:编码与解码,初始化种群,适应度评价,遗传操作,当算法达到预设的迭代次数或解的质量满足要求时,算法终止。FJSP 往往涉及大量的作业和机器,遗传算法能够有效处理这类大规模问题。并且,FJSP中可能存在多种复杂的约束条件,遗传算法可以通过设计合适的编码和遗传操作来处理这些约束。在现实生产环境中,FJSP 可能需要动态调整调度计划以应对突发事件(如机器故障、紧急订单等),遗传算法的灵活性和适应性使其能够快速响应这些变化。
2.2.4 基于强化学习的 FJSP 算法
强化学习(RL)是机器学习的一种分支,主要研究如何让智能体在环境中通过探索和利用来学习最优行为策略,以实现最大化累积奖励。增强学习不同于监督学习和无监督学习,它是一种基于环境反馈的顺序决策过程。主要包括智能体、环境、状态、奖励、动作、策略等组成部分。
针对在加工过程中出现的意外事件问题,将当前车间的状态(如作业的进度、机器的可用性等)表示为增强学习算法可以处理的形式,设计奖励函数来评估调度决策的质量,进而判断是否出现意外事件,达到对意外事件的检测,例如根据完工时间、延迟时间、机器空闲时间等因素来计算奖励,使用增强学习算法(如 Q 学习、DQN、PPO 等)来学习最优调度策略对发生意外事件的作业车间进行重新排产。
2.3 模型搭建
根据所提出的并列加工方式和混合加工方式,使用 AnyLogic 软件,对零件加工组装部分进行抽象仿真建模,以 3D 的方式更加直观地展现调度过程,对智能算法得出的数据进行仿真验证。
2.3.1 并列加工方式建模实现
在背景图片中添加空间标记,得到添加货架、路线、节点后的背景图。

图 8 背景图添加空间标记
按照加工流水线的工作流程设置功能模块并进行程序结构设计,四条加工流水线结构设计如下:

图 9 完整程序示意图(并列式)
添加卡车智能体,设计卡车智能体程序流程:

图 10 卡车流程程序示意图
增加 3D 效果,清晰展示模型运作过程,如下所示:

图 11 运行效果展示图(并列式)
2.3.2 混合加工方式建模实现
混合加工方式与并列式加工方式不同点在于限制不同,在建模实现上的不同点在于以下几点:
通过对资源池模块属性进行更改,将其归属地位置划分到不同流水线的同一道工序上,得到与流水线数量相同的容量,也即容量为 4,如此便可得到所需的效果,工件可在不同流水线间转运。
运行效果如下所示:

图 12 运行效果展示图(混合式)
2.3.3 变量定义
对在柔性作业车间调度问题中,任务由一系列工序组成,每台机器所需处理的工序事固定的。对每一道工序,都有一组具有不同处理时间的机器可用。问题描述涉及的变量符号定义如下:
表 1 符号定义

当给定N个零件加工任务
时,由R台机器
完成;其中每个加工任务Jj∈J)包含ni道工序
,每道工序Qij可由机器Zij合集中的机器完成。
2.3.4 约束条件
(1)初始状态约束:在0时刻同时到达m个工件,所有机器在 0 时刻可用,所有任务 0 时刻可进行;
(2)机器占用约束:一台机器同一时刻最多只能进行一道工序;
(3)任务进行约束:任一任务在每一时刻仅能在一台机器上进行,每步工序之间存在着严格先后顺序约束且都需在不同机器上完成;
(4)任务切换条件约束:工件在机器间的转运时间不可忽略,需要通过转运小车进行;
(5)意外事件约束:在作业车间进行工件的加工作业时可能会发生各种意外事件,需要对意外事件进行监测,并以某种重调度算法对作业车间进行重新排产;
(5)连续加工约束:工件的工序开始后便不能中途停止。
2.4 算法设计
2.4.1 遗传算法
表 2 平均加工时间

如表所示,表示零件在每台机器上平均加工时间 。为提高初始种群解的质量,本算法的机器选择部分采用随机方法生成,以确定其及加工时间,并根据加工步骤的机器选择,确定小车转运时间。其中 L 表示转运小车在不同流水线之间的转运时间。如图表示,表示该零件的加工机器为 3-2-2-4-1,第一步骤的第三台机器,第二步骤的第二台机器,以此类推。

图 13 遗传算法种群表示
采用轮盘赌和精英保留策略相结合的选择方法,两者相辅相成加快算法收敛速度.假设种群规模为 S,前 S 个染色体通过轮盘赌方法选择, 第 S 个染色体设置为当前种群中适应度值最高的染色体,进化算法的多点交叉上,适应度高的模式在子代中成指数阶增长,因此本算法采取均匀交叉方式。机器选择部分采用多轮单点交换变异;为了提高局部搜索能力且保证种群多样性,采用邻域搜索变异。
2.4.2 增强学习
环境的状态空间 S(检测是否发生意外),智能体采取的行动空间 A(重新排产),智能体感知到环境当前意外状态st (st∈S)并对其实施重排产行动at (at∈A),重排产行动 at 作用在意外状态 st 上,环境状态发生改变,转移至状态st+1 同时给予智能体奖励 rt+1,智能体根据 rt+1更新行动选择,并对环境实施下一个行动 at+1 ,实现意外检测与零件加工的重排产。

其中 ,Q(st,at) 为意外状态 st 与重排产动作at 的 Q 值函数,rt+1为动作执行后奖励值,
α为学习率,γ为学习折扣率。t 表示当前迭代次数,S 表示意外环境状态总数, A 表示行动次数。
2.5 代码运行结果
表 3 参数设置

依据上述参数设定,我们进行一波次的零件到达加工。结果如图所示,分别选取第一次、中间过程、最后结果的加工顺序,表示每个零件的加工机器选择。

图 15 中间结果

图 16 最终结果

图 17 迭代收敛曲线
3 装备制造试验故障传播溯源建模
3.1 研究背景
在现代化进程中,复杂装备系统已成为国民经济和国防建设的重要支柱。这些系统的安全性及稳定性对于保障经济社会的正常运行和国家安全具有不可替代的作用。然而,复杂装备系统在试验和运行过程中,时常面临故障的挑战。故障的发生不仅影响系统的正常运行,还可能导致严重的经济损失和安全风险。因此,对于故障的快速定位与溯源成为保障复杂装备系统安全的关键环节。
传统的基于故障因果网络的故障溯源方法,在处理复杂装备系统时,往往受限于系统内部零件数量庞大、相互关系错综复杂,以及故障数据不足等问题,难以实现有效的故障溯源。鉴于此,复杂网络理论的应用为复杂装备的故障传播建模提供了新的研究方向。复杂网络理论采用复杂网络模型来模拟复杂装备系统的内部结构及其相互作用,在此模型中,各零件被视为节点,零件间的连接关系抽象为边。通过在零件上布设传感器节点,可以监测到故障信号的传播,并记录故障信号的激活来源方向和时间戳等信息。当系统中的某节点发生故障时,故障信号会通过连边在网络中传播至相邻节点。传感器节点的数据反馈为故障信号的传播路径提供了关键信息,使得故障源的追踪成为可能。
为了对故障信息传播过程进行直观展现,进而分析复杂网络模型机理, 我们使用AnyLogic 软件,以航天发动机制造为背景,对部分零件加工组装过程进行抽象,建立仿真模型。
3.2 模型抽象
在一个具有若干零件的复杂装备中,零件之间的运行存在先后关系,牵一发而动全身,零件之间相互影响,每个零件都可能受到某些其他零件的影响,也可能影响若干其他零件。
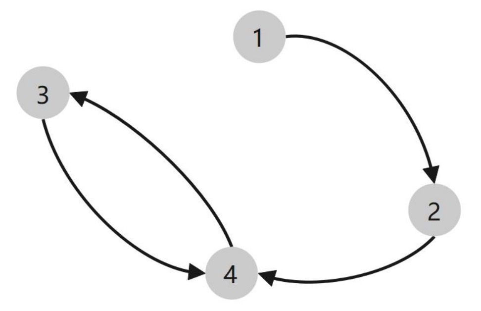
3.2.1 零件体系网络模型
对于一个特定的复杂装备,可以构建该装备的零件体系网络,该网络是一个有向图。在复杂装备的零件体系网络中,每个节点代表一个零件,节点之间的有向边代表零件之间的影响关系。以下图为例,零件 1、零件 2、零件 3、零件 4 的故障分别会传递至零件 2、零件 4、零件4、零件 3。

图 18 故障传递示意图
零件之间的故障传递具有时延性,一个零件发生故障之后需要一定时间才能将故障状态传递至该零件所影响的零件上。零件 i 的故障状态传递至零件 j 所需的的时间为Δtij。若零件i对零件 j 不产生影响,则Δtij=∞。

图 19 故障传递时间
零件体系网络作为有向图,该有向图唯一对应一个故障传递时间矩阵 ΔT ,该矩阵存储该复杂装备中零件的故障传递时间。以上面构建的零件体系网络为例,该零件体系故障传递时间矩阵可表示为:

3.2.2 故障传播模拟
一个零件进入故障状态后,会将故障状态传递至与之相连的零件,使其他零件也进入故障状态,故障状态由此进入网络中不断传播。仿真过程的可视化描述如下:

图 20 实体表示
在零件体系网络中,灰色节点代表未经任何处理的零件,有向边表示零件之间的故障传递关系。绿色节点表示放置的传感器的零件,红色节点表示出现故障的零件,有向边上运动的红色点表示故障在零件之间的传递过程,传递时长为Δtij。
当故障状态传递至部署有传感器的零件时,该零件对应的节点由绿色转为黄色,表示传感器已感知到故障状态,同时传感器输出故障方向与时间戳。

图 21 传感器输出故障方向与时间戳
按照时间流程,仿真过程预期效果可表示如下:
(1)对于已经构建好的零件体系网络选择若干个零件进行传感器的部署

图 22 传感器的部署
(2)开启计时器,而后随机选择一个零件作为故障源

图 23 选择故障源
(3)随着故障的传递,传感器状态变化并输出故障方向与时间戳。在此例子中,零件 6、
零件 8、零件 10 的传感器依次感知到故障,如图 24 所示,输出面板展示出它们接收到故障信号的时间以及故障的来源方向。

(a) 零件 6 感知故障

(b) 零件 8 感知故障

(c) 零件 10 感知故障
图 24 故障的传递与输出
4 结论
总结本文方法及取得的成绩,切勿简单重复摘要内容。针对各部门之间协同关系不明的问题,本研究通过深入探讨复杂装备生产试验中各部门的职能及其协同关系,确定了各关键部门的职能,随后通过建立从项目立项、产品原型生产、装备产品试验到产品生产的完整流程框架,明确了各部门在这一过程中的协同作用,为后续针对这一过程的仿真建模提供重要基础和依据,以优化部门间的交互、决策效用共享,进而提升项目完成质量和效率。
对于制造资源配置机理不够智能的问题,本研究通过假设具体生产场景,对工作车间运用柔性车间调度算法进行初始排产。通过引入意外情况,当意外事件发生并被监测到之后,则利用强化学习算法对作业车间进行重新排产。通过引入意外情况作为被动约束考虑模型全局要素进行仿真建模,以更加全面考虑排产问题。
针对装备制造试验故障传播溯源难度较大的问题,本研究基于复杂网络理论采用复杂网络模型来模拟复杂装备系统的内部结构及其相互作用,将零件及其相互关系抽象为图模型进行分析研究。实现了故障传播过程模拟和故障传播溯源过程功能。
作者:国防科技大学系统工程学院 杨浩良 冷静宜 李天逸 刘瑞鹏
暂无评论,等你抢沙发